Free Sublease Agreement Templates
Free Sublease Agreement Templates - In addition to the provisions of this sublease agreement, the sublessee agrees to be bound by all the conditions of the lease between sublessor and the landlord, [insert the name of master leasor] (the master lease). Let's look at how to create sublease forms, what to avoid, and a free template to get you started. To create legally binding sublease agreements, use this free sublease agreement template from jotform sign — accessible from any type of device. That's why we've created a compliant sublease agreement template for you to use with peace of mind.
Sublease Agreement Template Free Download Easy Legal Docs
Sublease agreement is a contract between a tenant (sublessor/sublandlord) of an existing lease and a new tenant (sublessee/subtenant). These contracts allow for a leased property to be lived in by someone else for a time if the original lease can't break the lease for some. A sublease agreement is a document used by a tenant who has a lease to a residential property so that they can assign their rental rights in the property to another individual, called the subtenant.
Free Sublease Agreement Templates | Pdf | Word.
The tenant now desires to sublet the leased property. A sublease agreement allows the tenant to rent the property to another party. 39 free commercial sublease agreement templates [word,pdf] a commercial sublease agreement allows one tenant to leave their original lease and put a new tenant in place.
A Sublease Agreement Is Used By A Renter Who Wants To Allow Someone Else To Rent And Live In The Home During The Original Term.
Follow the next few steps to customize this sublease contract to your needs: Our sublease agreement templates vary from state to state, ensuring that you will use the proper template based on your state. The landlord agrees to let the tenant use the property in exchange for rent.
A Sublease Agreement Is A Legally Binding Document Between A Landlord And A Tenant To Sublet A Property For A Specific Time.
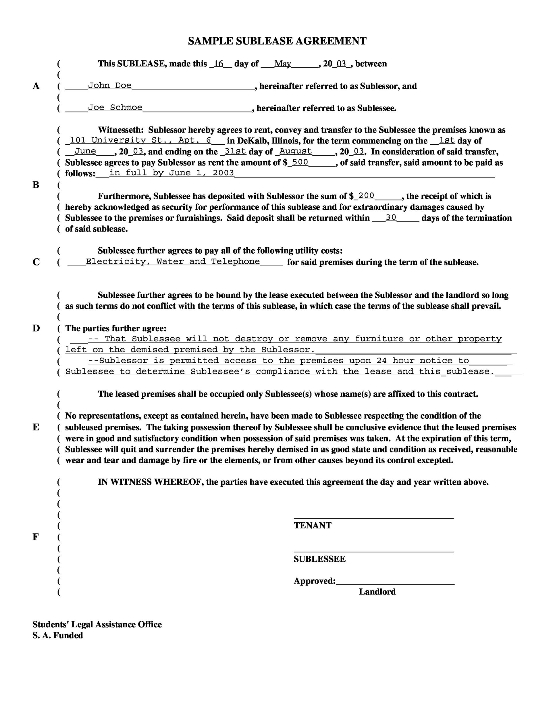
First, start by choosing the agreement that best suits your needs. It also likes the amount of rent, how and when it should be paid, and explains the provisions of the master lease. Click below to access our sublease agreement sample.
Templates Created By Legal Professionals.
Make a contract for the person going to sublease your property with no difficulties. She becomes a sublandlord, and the person she rents her third bedroom to. This sublease agreement (the sublease) is made effective as of [insert date], by and between [insert name of tenant] (tenant), and [insert name of subtenant]dated [insert date] (the prime lease), a copy of which is attached as an exhibit to this sublease.
On The Other Hand, A Sublease Agreement Doesn't.
A sublease agreement is a legal document that permits a tenant to rent out their property to another person, known as a subtenant. The first step requires the tenant to locate the primary rental contract put into effect on the commencement date of the current occupancy. She wants to rent it to someone with her landlord's permission.
In A Sublet, The Original Tenant Vacates The Premises While Continuing To Pay Rent To The Property Owner.
Peruse through the document and search for any clauses that mention the lessee's rights in regard to subletting the premises. Outline terms and conditions, contact information, payment options, and more. The master lease is attached to this sublease agreement for reference.
This Free Sublease Agreement Is Already Ready To Use, But If You'd Like To Personalize It To Match Your Needs More.
This allows them to not break the terms of the lease, which can be costly, while still getting out of the original agreement because they found someone else who is willing to. A residential sublease agreement is where a tenant leases their rental unit (or part of their rental unit) to another tenant. A sublease cannot exceed the original.
Add The Details Of Both Parties.
The lease sets out the terms, conditions, and duration of this arrangement. A sublease agreement is a form that allows a tenant to rent space they have under a written contract with a landlord to someone else, known as the subtenant or sublessee. The form establishes the rules and expectations that the subtenant is required to follow.
The Tenant Has Exclusive Rights To The Property For The Lease's Duration.
A sublease agreement is a legal document that allows a tenant to sublet a property to someone else (subtenant). The subtenant is obligated to follow the terms and conditions of the original lease; 24/7 free phone & email customer support.
Customize Your Documents Quickly & Easily.
In most scenarios, the tenant will have to check their original lease to verify that subletting is allowed or else they will have to obtain written consent from the landlord. Complete the full names and addresses of all relevant parties. But if you have a sublease agreement, you have legal documentation of your agreement with the person you rent.
They Have To Follow The Terms And Cognition Of The Sublease Or They Will Face The Legal Consequences.
It commonly requires the consent of the landlord. 35 free sublease agreement templates & forms [word, pdf] sublease agreements or sublease contracts need to be used when someone who is leasing a property sublets the property to another person for a time. A sublease agreement is a binding document formed between the existing tenant (lessee) to a property and a new subtenant (sublessee).
Also Known As Subletting, A Tenant Must Obtain The Landlord's Permission Before Renting To Subtenants (Unless Permitted To Do So In The Original Lease).
It's formed between the original tenant of a property (sublessor) and a new tenant (sublessee or subtenant). The tenant renting the space, known as the sublessor, will handle negotiating, reviewing the applicant (with. This process, referred to as subletting, typically requires the tenant to get the landlord's approval unless the original lease explicitly allows it.
Download Our Free Sublease Agreement Template To Use Whenever You Need It.
Much like a traditional lease, it explains the duties of the tenant. A lease agreement is a contract between a landlord and a tenant. However, the original tenant remains singly responsible for payment of rent, damages, and any breach of the original lease agreement.
In A Sublease, The Subtenant Is Subject To The Terms And.
If the tenant has roommates, it is not required although. Also, our sublease agreement templates are easy to access, free to download, and can be customized to fit your contract needs. It gives you peace of mind when bringing on subtenants.
Access And Use Our Sublease Agreement Templates For Your Ease!

Sublease Template Pdf

Free Sublease Agreement Templates PDF Word

40+ Professional Sublease Agreement Templates & Forms ᐅ TemplateLab

Sublease Agreement Template Free

Free Sublease Agreement Templates PDF WORD RTF
![35 Free Sublease Agreement Templates & Forms [Word, PDF]](https://i2.wp.com/templatelab.com/wp-content/uploads/2021/09/residential-sublease-agreement-03-790x1022.jpg)
35 Free Sublease Agreement Templates & Forms [Word, PDF]

Free Sublease Agreement Template PDF WORD

Free Sublease Agreement Templates for Download (2023)

Free Sublease Agreement Template Word

Subletting Agreement Template

Free Sublease Agreement Template Printable Templates

40+ Professional Sublease Agreement Templates & Forms ᐅ TemplateLab

Sublease Agreement Template Free Download Easy Legal Docs

40+ Professional Sublease Agreement Templates & Forms ᐅ TemplateLab

40+ Professional Sublease Agreement Templates & Forms Template Lab